
羊毛是人類在紡織上最早利用的天然纖維之一。質軟而富有彈性,可用作毛毯、氈呢、絨線等生活用品。若其加工工藝不符合標準,殘脂過高,會造成使用過程中產生異味。所以殘脂含量也是評判羊毛質量的一個標準。
2實驗部分
2.1實驗儀器及試劑
脂肪測定儀(那艾儀器);分析天平;鼓風干燥箱;干燥器;100mL量筒;剪刀。
實驗用水應符合GB/T6682中三級用水的規格,使用試劑除特殊說明外,均為分析純。
海砂;乙醚;濾紙;脫脂棉。
2.2實驗步驟
1.儀器準備:請參照說明書,清洗溶劑杯,干燥并稱重記為m0。
2.取樣:用剪刀將樣品剪碎,精確稱取干燥樣品約0.5g(記為m),放入濾紙筒內,并覆蓋上一層脫脂棉。
3.萃取:加入抽提溶劑50mL,打開冷凝水,啟動脂肪測定儀。設置回流時間2h、萃取溫度45℃,進行萃取。預干燥15min。
4.計算結果:抽提完成后,烘干溶劑杯至恒重,記為m1。
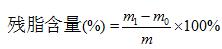
增重法計算殘脂含量:

其中,m1──溶劑杯和殘脂質量,g;
m0──溶劑杯質量,g;
m ──試樣質量,g;
計算得出實驗結果。
3注意事項
注意乙醚的揮發及易燃性,萃取過程中應及時注意通風。